一文全面了解超滤膜材质及特点!

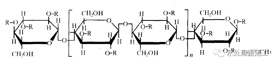
1.纤维素酯
制作超滤膜的纤维素酯主要有醋酸纤维素(CA)、三醋酸纤维素(CTA)和醋酸硝酸混合纤维素(CA-CN) 等。CA的化学结构如下:
纤维素原材料来源广,价格便宜,是目前广泛应用的膜材料。它具有选择性高、透水量大、耐氯性好和制膜工艺简单等优点。
由于纤维素分子中的羟基被乙酰基所取代,削弱了氢键的作用力,使分子间距离增大,可以制得具有泡沫结构的中空纤维膜。
作为超滤膜,CTA分子结构类似于CA,但在乙酰化程度以及分子链排列的规整性方面有一定的差异。
CTA的机械强度和耐酸性能比CA要好,所以将其与CA共混有可能改善CA的性能。纤维素膜的缺点是热稳定性差、易压密、易降解、适应的pH范围窄量。
2.聚砜类
聚砜是继纤维素之后主要发展的膜材料,也是目前产量最大的膜材料。它可用作超滤膜和微滤膜,也可以作为复合膜的支撑层。
(1)聚砜(PSF),化学结构如下:
PSF是一种非结晶性聚合物(玻璃化温度T=195℃),因具有高度的化学、热及抗氧化稳定性,优异的强度和柔韧性及高温下的低蠕变性,而成为一种较为理想的膜材料。
聚砜类膜疏水性或亲油性较强,故水通量低和抗污染能力差。因此,对聚砜类膜材料的改性工作多集中在提高其亲水性上。
通过“合金化”,即将聚合物共混,利用不同聚合物间性质的互补性与协同效应来改善膜材料的性质,在PSF中引入亲水性物质,是改善聚砜类膜材料亲水性的有效方法。
(2) 聚醚砜(PES),化学结构如下:
聚醚砜(PES)性质与PSF类似,只是因分子中完全没有脂肪族烃基而显示出更高的热稳定性(其T=230℃)。
PES的孔径分布也比PSF狭窄得多。另外,如果在PES分子中引人酚酞侧链,则可得到酚酞型聚醚砜(PES-C),它具有比PES更高的耐热性和更好的亲水性。
如果在PES分子中引入了带负电荷的亲水基团磺酸基,就可得到磺化聚醚砜(SPES)。由于磺酸基的引入,显著改善了膜的透过通量,而且抗污染性能也能也有所改善。
3.聚烯烃
(1)聚丙烯腈(PAN),化学结构如下:
PAN材料来源广泛,价格便宜。由于分子中腈基团的强极性,内聚能大,故具有较好的热稳定性,同时具有耐有机溶剂(如丙酮、乙醇等)的化学稳定性。
此外它的耐光性、耐气候性和耐霉菌性较强,拓宽了它的应用领域,可以用于食品、医药、发酵工业、油水分离、乳液浓缩等方面,是国际上主要商业化的中空纤维超滤膜的制造材料之一。
(2)聚乙烯醇(PVA),化学结构如下:
PVA化学性质稳定,分子之间的氢键使它保持了足够的热稳定性,分子链上大量的羟基又使它具有较强的亲水性,与水相近的溶解度参数;该材料成膜和耐污染的性能良好,被广泛用作制备亲水膜。
但是,PVA膜易于溶胀乃至溶解,因此-般还需对其进行改性处理,如热处理、缩醛化、共混改性等;
也可加入少量金属盐对其进行改性,如往PVA铸膜液中加人硫酸铁可改善膜的结构和性能,选择适宜的铸膜液配方和成膜条件,可得到具有较好性能的改性PVA膜。
(3)聚氯乙烯(PVC),化学结构如下:
聚氯乙烯是产量仅次于聚乙烯的第一大合成树脂,具有价格低廉、耐微生物侵蚀、耐酸碱、化学稳定性和机械性能好的特点,将聚氯乙烯均聚物溶解在适当的溶剂中所制得的涂层,能经受酸、碱、盐水、油类、酯类、食品、腐蚀性气体和大气的老化。
在国外,有商品化的PVC微滤膜出现,对于PVC超滤膜的研究也有不少报道。
在国内,PVC 作为膜材料的研究始于20世纪80年代,但由于PVC亲水性和膜韧性不足,凝胶膜容易自发收缩起皱,成膜性能不其理想。
因此针对 PVC这些缺陷,许多膜科学工作者展开了共混、共聚和表面改性等方面的研究。
4.含氟聚合物
作为膜材料,常见的含氟聚合物有聚偏氟乙烯(PVDF)和聚四氟乙烯(PIFE)。但由于PTFE没有合适的溶剂能将其溶解,难以制得PIFE超滤膜。
PVDF的结构如下: 
PVDF是偏氟乙烯的均聚物,聚合度达几十万,其分子中C-F键具有较高的键能,因而作为膜材料具有很好的耐热性和耐腐蚀性,只有二甲基乙酰胺(DMAc)、二甲基亚砜(DMS)等强极性有机溶剂才能使其溶解。
利用PVDF制备的分离膜,最早见到的是Milipore公司上世纪80年代中期开发出的“Purepore”型微孔滤膜,随后美国、日本等将商品PVDF组件应用于食品、医药和水处理行业。我国近几年已研制出PVDF平板式和中空纤维式的微孔膜、超滤膜。
该材料制造的膜疏水性良好,已成功地用于膜蒸馏、气体净化、有机溶剂精制等方面。
但是,PVDF疏水性的膜表面与水无氢键作用,易被污染,所以将PVDF膜应用于生化制药、食品饮料及水净化等水相分离体系的领域,需要进行亲水性改性。